Vicele de Piatra-Neamț, Sauciuc, fost director la Troleibuzul, și membrii CA nu vor să înapoieze sutele de mii de lei încasați ilegal. Fiscul a descoperit manevra
Un control efectuat de inspectorii ANAF, anul trecut, la Societatea Transport Public Neamț SA (fosta Troleibuzul SA) a scos la iveală mai multe nereguli, una dintre cele mai grave fiind cea cu privire la modul în care fostul director Cristian Sauciuc, actualmente viceprimar al muncipiului Piatra-Neamț, și membrii Consiliului de Administrație și-au mărit ilegal indemnizațiile.
Lehăduș a returnat banii
Finanțiștii au constatat că Sauciuc și-a crescut ilegal indemnizația cu 120.000 de lei, iar membrii CA au încasat ilegal 230.000 de lei (suma totală). Același control a mai stabilit că și actualul director, Alin Lehăduș, a încasat ilegal 4.832 de lei, însă acesta iese din calcul, pentru că a achitat suma imputată.
Fostul director Sauciuc și cei cinci membri ai CA nu s-au conformat măsurilor impuse de finanțiști. Au trecut luni bune de la finalizarea raportului de control, document asumat de actuala conducere a firmei, iar banii nu au fost recuperați. Deși informațiile atacul.ro arată că actualul director, Lehăduș, a emis dispoziții pentru recuperarea sumelor (în termenul de 5 zile), situația a rămas aceeași. Tot atunci, adică la jumătatea lunii august 2025, au fost emise și notificări pe numele celor vizați, dar nici așa nu s-au sfiit să scoată vreun bănuț băgat ilegal în buzunare și, astfel, compania județeană nu a recuperat niciun leu de la ei.
După peste jumătate de an, hop și contestația
Abia aproape de sfârșitul lunii trecute, cu câteva zile înainte de a răspunde întrebărilor atacul.ro cu privire la această situație, reprezentanții companiei au contestat în instanță raportului de control întocmit de ANAF, în vara anului trecut. Practic, s-a scurs mai bine de jumătate de an de când Fiscul le-a spus să dea banii înapoi, iar ei s-au trezit acum să conteste măsurile impuse.
Au contestat doar deciziile care priveau recuperarea sumelor de bani de la cei care au încasat indemnizații majorate ilegal, așa cum au constatat inspectorii ANAF.
Alexandra Chihaia, jurista firmei Societatea Transport Public Neamț SA, afirmă că, după primirea raportului, a făcut plângere prealabilă la ANAF în termenul legal de 30 de zile. După primirea răspunsului, societatea s-a adresat instanței de judecată, contestând cele două măsuri cu privire la indemnizațiile încasate ilegal de cei cinci membri ai CA-ul și fostul director Sauciuc. Dosarul a fost înregistrat în data de 23 februarie, iar până în prezent nu are fixat primul termen de judecată.
„O să vedem cum se pronunță instanța… Nu și-au dat indemnizațiile singuri. A fost o hotărâre a AGA, pentru că ei sunt cei care stabilesc indemnizațiile, iar atâta timp cât li s-a aprobat…”, a conchis jurista societății.
Lehăduș către ANAF: „S-a dispus luarea măsurilor pentru recuperarea sumelor”
Atacul.ro a intrat în posesia unui document, semnat de către directorul general Alin Lehăduș, în care acesta le transmite, în data de 19 august 2025, inspectorilor ANAF că a dispus măsuri pentru recuperarea sumelor, ceea ce nu s-a întâmplat.

Societatea Troleibuzul a fost condusă de Cristian Sauciuc (foto) până în luna noiembrie 2024, când a plecat la primărie, lăsând locul lui Alin Lehăduș, fost viceprimar de Piatra-Neamț.
În perioada în care a fost director general al Troleibuzul SA, Sauciuc a fost remunerat boierește pentru o companie care trăiește din subvenții, dar și pentru un județ cu o populație care, într-un procent covârșitor, circulă cu mașinile proprii. Chiar și în aceste condiții, Sauciuc a plusat la indemnizația pe care o încasa.
Inspectorii ANAF au constatat că, începând cu luna decembrie a anului 2023, indemnizația fostului director al Troleibuzul SA, Cristian Sauciuc, a crescut cu peste 3.200 de lei net, de la 12.500 de lei net (21.368 de lei brut) la 15.767 de lei net (26.952 de lei brut). Practic a sărit peste pragul de 3.000 de euro net/lună.

De o indemnizație substanțială, de 26.952 de lei brut/lună, a beneficiat și Alin Lehăduș (foto), adică de peste trei ori media câștigului salarial mediu brut lunar pentru activitatea desfășurată de fosta societate Troleibuzul.
Troleibuzul pe pierderi, ei cu mâna-n bani
Majorarea indemnizațiilor a fost făcută cu încălcarea prevederilor legale, mai exact a Legii 296/2023 privind unele măsuri fiscal-bugetare pentru asigurarea sustenabilității financiare a României, care stipulează că: „Remuneraţiile lunare ale conducătorilor operatorilor economici care nu sunt membri executivi ai consiliilor de administraţie în cazul sistemului unitar, respectiv remuneraţiile membrilor directoratului în cazul sistemului dualist nu pot depăşi de 3 ori media pe ultimele 12 luni a câştigului salarial mediu brut lunar pentru activitatea desfăşurată conform obiectului principal de activitate înregistrat de societate, la nivel de clasă, conform clasificaţiei activităţilor din economia naţională, comunicat de Institutul Naţional de Statistică anterior numirii. Conform prevederilor art.XXXVII alin.(2) din actul normativ mentionat anterior remuneratia conducatorului societatii Troleibuzul SA putea depăşi de 3 ori, dar nu mai mult de maximum 6 ori media pe ultimele 12 luni a câştigului salarial mediu brut lunar pentru activitatea desfăşurată conform obiectului principal de activitate , comunicat de Institutul Naţional de Statistică doar pentru perioadele lunare în care sunt îndeplinite cumulat cel puţin următoarele condiţii:
- a) nu au datorii restante faţă de bugetul general consolidat;
- b) nu au datorii restante faţă de furnizori şi faţă de alţi creditori;
- c) au programele de investiţii implementate conform graficelor de execuţie;
- d) nu au înregistrate pierderi contabile anterioare şi nu inregistrează pierderi contabile curente”.
Inspectorii fiscali au constatat că aceste condiții stipulate de lege au fost îndeplinite doar în noiembrie 2023, deoarece în restul timpului, în perioada ianuarie – octombrie 2024, fosta Troleibuzul SA a înregistrat pierderi lunare, iar în decembrie 2024 nu a realizat programul de investiții.
Banii înapoi!
Concluzia, în urma controlului, a fost clară, și anume că Sauciuc și Lehăduș au încasat ilegal de la fosta Troleibuzul SA, pentru perioada ianuarie 2024 – octombrie 2024 și decembrie 2024, suma de 125.612 lei, bani care trebuie recuperați.
Mai mult, creșterea ilegală a indemnizațiilor celor doi a fost operată în condițiile în care 62% din totalul veniturilor înregistrate de Troleibuzul în 2024 au reprezentat subvenții pentru susținerea prețului de cost a transportului public de la acționarii societății: Consiliul Județean Neamț și primăriilor Piatra-Neamț, Gârcina, Alexandru cel Bun, Roznov, Săvinești, Dumbra Roșie.
Finanțiștii au impus recuperarea sumei totale de 125.612 lei, ceea ce reprezintă indemnizațiile lunare achitate ilegal directorilor Sauciuc (120.780 de lei) și Lehăduș (4.832 de lei).
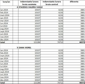
Membrii CA, indemnizații aproape duble
Cei 5 membri ai Consiliului de Administrație (Dominte Mihai, Oprita Vasile, Stacescu Valeriu-Vasile, Ungureanu Mariana, Zama Viorel), au beneficiat și ei, începând cu luna decembrie 2023, de o creștere spectaculoasă a indemnizației, cu 4.267 de lei, de la 5.840 lei/membru CA la 10.107 lei/membru CA, ceea ce, ca și în cazul celor doi directori, Sauciuc și Lehăduș, a contravenit prevederilor Legii 296/2023 privind unele măsuri fiscal-bugetare pentru asigurarea sustenabilității financiare a României.
Indemnizațiile membrilor CA puteau fi majorate doar cu indicele de inflație, adică doar cu 386 de lei, au stabilit finanțiștii. În consecință, membrii CA au încasat nelegal, în intervalul ianuarie 2024 – decembrie 2024, peste 230.000 de lei, bani care trebuie să revină în visteria companiei județene.
D. MURARU
⚠️ ️️Articolele publicate de ATACUL.RO nu pot fi preluate decât în limita a 500 de caractere şi obligatoriu cu citarea sursei (indicarea link-ului este obligatorie). În caz contrar, ne rezervăm dreptul de a ne adresa instanței de judecată.

















Poate il ajuta firmele” de casa ” care lucrează si au contracte cu primaria ,ca sa reușească sa-si achite datoriile. Asa cum i-au facut si vila!